Ở phần từ vựng và ngữ pháp, đề thi đa dạng các loại hình từ vựng, ngữ nghĩa từ theo khung chương trình; các điểm ngữ pháp theo khung chương trình giao tiếp, liên hệ tình huống thực tế.
| Like và Theo dõi Fanpage Tuyển sinh số (https://www.facebook.com/tuyensinhso/) để cập nhật thêm nhiều tin tức tuyển sinh và tài liệu ôn thi học kì, ôn thi THPT quốc gia. |
Theo Sở GD&ĐT TP. Hồ Chí Minh, cấu trúc đề thi môn Tiếng Anh vào lớp 10 năm 2026 gồm:
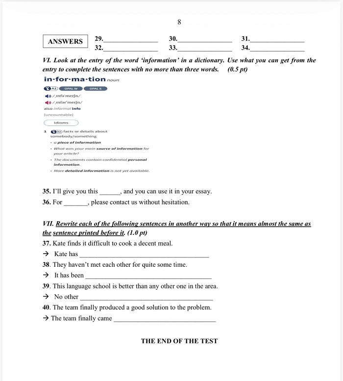
- Phần 1 (1,0 điểm) gồm 4 câu hỏi, kiểm tra kiến thức ngữ âm.
- Phần 2 (3,0 điểm) từ câu 5 đến câu 16, kiểm tra từ vựng, ngữ pháp, giao tiếp
- Phần 3 (3,0 điểm) từ câu 17 đến câu 28 gồm đọc và điền từ; đọc hiểu trả lời câu hỏi.
- Phần 4 (4,0 điểm) từ câu 29 đến 40 gồm viết dạng đúng của từ; viết cụm từ phù hợp theo thông tin cho sẵn; viết câu.
Đề tuyển sinh đánh giá năng lực ngôn ngữ không chỉ dựa trên kiến thức thuộc lòng ngữ pháp và từ vựng của học sinh mà phải đánh giá được khả năng hiểu và vận dụng kiến thức ngôn ngữ vào ngữ cảnh phù hợp, đặc biệt là các tình huống thực tế cuộc sống.
Cụ thể, ở phần kiểm tra kiến thức ngữ âm, đề thi gồm các câu hỏi cách phát âm các nguyên âm và phụ âm cơ bản, cách đặt dấu nhấn từ cho đúng.
Ở phần từ vựng và ngữ pháp, đề thi đa dạng các loại hình từ vựng, ngữ nghĩa từ theo khung chương trình; các điểm ngữ pháp theo khung chương trình giao tiếp, liên hệ tình huống thực tế
Trong đó, văn bản đọc hiểu có độ dài 180-200 chữ, riêng văn bản điền khuyết có độ dài 80-100 chữ.
Ở phần viết câu, đề thi gồm các yêu cầu viết đúng hình thức từ để hoàn thành câu có nghĩa phù hợp; viết câu đơn giản dựa trên thông tin cho sẵn; viết câu sử dụng khả năng về cấu trúc ngữ pháp, kết hợp từ.




Đề tham khảo môn Tiếng Anh thi vào lớp 10 TP.HCM theo chương trình mới
|
Xem thêm: |
WY
Chuyên trang thông tin Tuyển Sinh Số cung cấp thông tin tuyển sinh từ Bộ GD & ĐT và các trường ĐH - CĐ trên cả nước.
Nội dung thông tin tuyển sinh của các trường được chúng tôi tập hợp từ các nguồn:
- Thông tin từ các website, tài liệu của Bộ GD&ĐT và Tổng Cục Giáo Dục Nghề Nghiệp;
- Thông tin từ website của các trường;
- Thông tin do các trường cung cấp.
Giấy phép số 698/GP - TTĐT do Sở Thông tin và Truyền thông Hà Nội cấp ngày 25/02/2019.