Tuyển sinh số xin gửi tới các thí sinh đề thi thử tốt nghiệp THPT năm 2026 môn Tiếng Anh (có đáp án) để thí sinh tham khảo và ôn thi.
| Like và Theo dõi Fanpage Tuyển sinh số (https://www.facebook.com/tuyensinhso/) để cập nhật thêm nhiều tin tức tuyển sinh, tài liệu ôn thi học kì, ôn thi THPT quốc gia và được tư vấn tuyển sinh miễn phí. |
So sánh cấu trúc đề thi tốt nghiệp THPT môn tiếng Anh cũ và mới:
| Tiêu chí so sánh | Chương trình cũ | Chương trình mới |
| Số câu hỏi |
- 50 câu trắc nghiệm (0,2 điểm mỗi câu) |
- 40 câu trắc nghiệm (0,25 điểm mỗi câu) |
| Độ khó |
- Ổn định so với các năm trước, phổ điểm chủ yếu 5-7 - Nhiều câu dễ, trung bình, ít câu phân hóa |
Nhìn chung tương đương nhưng tăng mức độ tư duy ở một số câu đọc hiểu và câu logic |
| Dạng câu hỏi |
- Ngữ âm (phát âm, trọng âm) - Ngữ pháp, từ vựng - Giao tiếp - Tìm lỗi sai, từ đồng/trái nghĩa - Viết lại câu - Đọc và điền từ vào đoạn văn - Đọc hiểu |
- Đọc và điền từ/cụm từ ngắn để hoàn thành đoạn văn/văn bản (12 câu) - Đọc và điền từ/cụm từ dài để hoàn thành đoạn văn/văn bản (5 câu) - Sắp xếp câu thành đoạn hội thoại/lá thư/đoạn văn (5 câu) - Đọc hiểu (một bài 8 câu và một bài 10 câu) |
| Mức độ |
- Nhận biết: Khoảng 30% - Thông hiểu: Khoảng 40% - Vận dụng: 30% |
- Nhận biết: Khoảng 25% - Thông hiểu: Khoảng 35% - Vận dụng: Khoảng 40% |
| Thời gian làm bài | 60 phút | 50 phút |
| Tỷ lệ kiến thức |
- Kiến thức ngôn ngữ (ngữ âm, ngữ pháp, từ vựng...): Khoảng 50% - Kỹ năng đọc hiểu, tư duy logic: Khoảng 50% |
- Kiến thức ngôn ngữ: Khoảng 40% - Kỹ năng đọc hiểu và logic: Khoảng 60% |







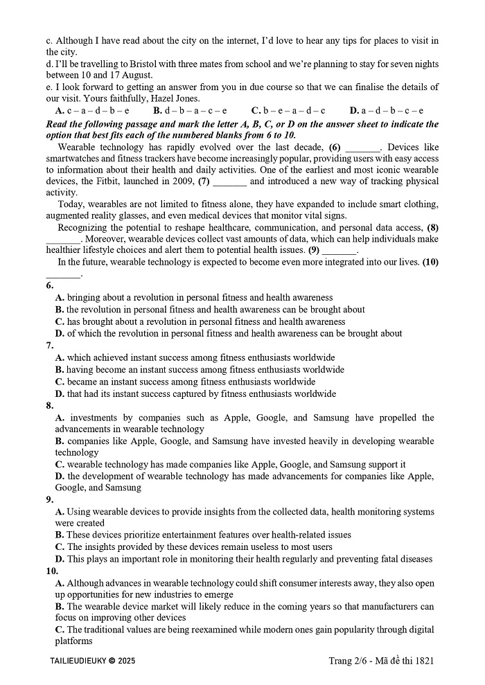
Đề thi thử Tiếng Anh tốt nghiệp THPT 2026 có đáp án
|
Xem thêm: |
WY
Chuyên trang thông tin Tuyển Sinh Số cung cấp thông tin tuyển sinh từ Bộ GD & ĐT và các trường ĐH - CĐ trên cả nước.
Nội dung thông tin tuyển sinh của các trường được chúng tôi tập hợp từ các nguồn:
- Thông tin từ các website, tài liệu của Bộ GD&ĐT và Tổng Cục Giáo Dục Nghề Nghiệp;
- Thông tin từ website của các trường;
- Thông tin do các trường cung cấp.
Giấy phép số 698/GP - TTĐT do Sở Thông tin và Truyền thông Hà Nội cấp ngày 25/02/2019.